World Coal - August 2015 - page 80

underground becomes a major hurdle.
The solutions come from the experience
and expertise held in those few countries
in the world with a long history of
extracting deep coal. In such cases, the
experience and accumulated knowledge
gained in deep coal basins, such as the
Ruhr in Germany, where mining
activities have been carried out
successfully in extreme conditions, can
be extremely illuminating.
History of the subject
The high levels of productivity that can
be obtained through the application of
modern longwall mining technology is as
dependent on the long-term stability of
access roadways and of the coalface
T‑junction, as it is on the effectiveness of
the hydraulic supports and equipment
used at the face. Even minor disruption to
the state of the roadways can cause
serious disturbances to the production
process and, consequently, a loss of
productivity. This becomes vitally
important when mining at great depth
and/or multi‑seam extraction sequences.
Since the 1950s, DMT has been
deeply involved in carrying out research
in the field of rock mechanics associated
with the extraction of multiple and
extremely deep coal seams.
Initially, DMT’s major R&D activities
were conducted predominantly at
German mines but, over the years, the
R&D programmes have gradually been
extended to other coalfields outside of
Germany, such as Russia, Ukraine,
Czech Republic, Australia, Kazakhstan
and others.
The focus of the research has been on
how the coal seams and overlying strata
react before, during and after coal
extraction takes place at depth.
Particular aspects that have been
investigated include rock movements,
rock pressure and stress distribution
around production areas and the effects
at surface, rock deformation around
roadway and underground openings,
methods to improve roadway stability
and the development and continual
improvement of innovative modern
support solutions. During this very
thorough process, a range of strata
support materials and techniques have
been studied and evaluated.
The development and proving of
effective operational systems has been
ongoing in Germany over many years
and is summarised below, together
with an explanation of the importance
of efficient rock pressure management
for the strategic development of the
mine.
Support technologies and
design parameters
The basic purpose of roadway support
systems at shallow depth is to protect
miners from falls of ground. Around the
world, many of the roadways driven in
coal mines are rectangular in shape,
ideally suited to modern high-speed
development and production
equipment. However, with increased
depth of extraction, new roadway
support systems have had to be
developed, as previous solutions do not
cope with the increasingly challenging
rock and stress conditions encountered
at extreme depths.
In the ultra‑deep German mines,
rectangular shaped roadways suffer
extreme deformations. In quite a
number of cases, such deformation and
stress release events can be sudden,
uncontrolled and occur directly after
advance of the face supports. The
traditional design of roadways did not
account for the changing geotechnical
conditions caused by the depth of
operations.
The primary function of roadway
support is to maintain the shape and
cross-section of the mine roadway and
withhold the load of the fracture zone
surrounding the roadway under all
conditions, ensuring a safe working area
for the workforce. Increased surveillance
by the mining authorities in Germany
has led to the development and
adoption of new and more robust
support solutions there.
Although these have sometimes been
high-cost solutions, they have allowed
safe and effective mining operations to
take place even at extreme depths for
coal mining.
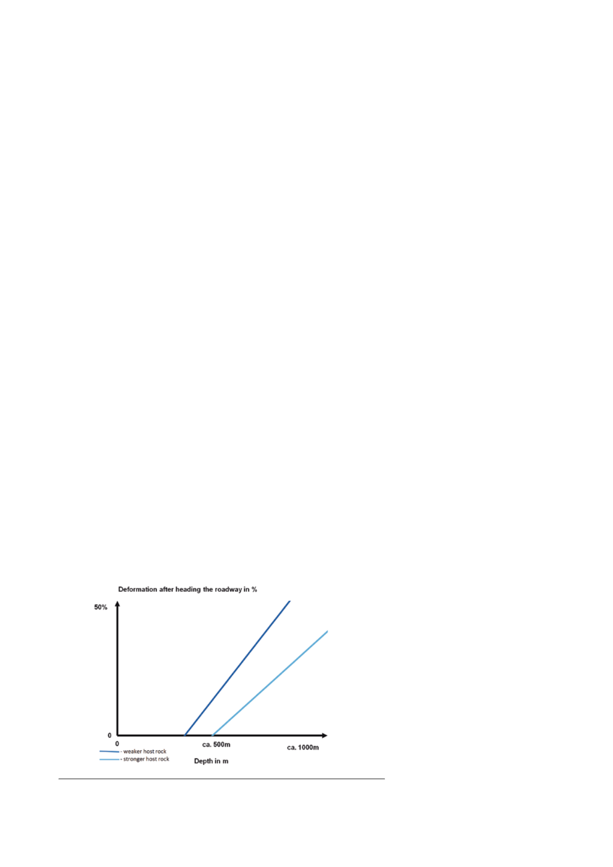
At greater depth, if roadways are not
supported immediately after advance,
they will be subject to large deformation
and convergence. The interrelationship
between depth, rock strength and
roadway deformation is shown in
Figure 2. In this chart, the Y‑axis shows
the deformation in the form of roadway
convergence immediately after advance.
The stronger the host rock is, the less is
the chance of roadway deformation
down to 500 m, however the presence of
weak host rock can cause such event
even at lower depth.
Over the length of a roadway, there
will typically be sections suffering very
little damage, while other sections may
be subject to extreme strata pressure and
deformation. Typically, this is driven by
interaction with neighbouring openings,
localised re-distribution of stresses and
the nature and characteristics of the
surrounding rock mass. Fracturing
extends well into the host rock and is not
limited to a fewmeters in the roof and
the floor. Depending on the structural
nature of the surrounding rock, folding
in the roof and the floor layers will also
occur. In this situation, the roadway will
Figure 1. Conditions for appearance of roadway deformations.
78
|
World Coal
|
August 2015
1...,70,71,72,73,74,75,76,77,78,79 81,82,83,84,85,86,87,88,89,90,...108
Powered by FlippingBook